Determinati Multimea Valorilor Functiei F X X 2 X 1





Consideram Functia F 8 4 0 4 R F X 2 3pe4x Determinati Multimea Valorilor Functiei F Dau Brainly Ro

Consideram Functia F 8 4 0 4 R F X 2 3pe4x Determinati Multimea Valorilor Functiei F Dau Brainly Ro

Reprezentati Grafic Functia F R Gt R Definita Prin F X 3 12x 16 Determinati Multimea Valorilor Lui Brainly Ro

Reprezentati Grafic Functia F R Gt R Definita Prin F X 3 12x 16 Determinati Multimea Valorilor Lui Brainly Ro

Multimea Valorilor Lui M Pt Care F Este Injectiva Pe 1 1 F X 2 Mx 2 Brainly Ro

Multimea Valorilor Lui M Pt Care F Este Injectiva Pe 1 1 F X 2 Mx 2 Brainly Ro

Se Considera Functia F R Gt R F X 2x 1 Determinati Multimea Valorilor Reale Ale Lui X Pentru Care Brainly Ro

Se Considera Functia F R Gt R F X 2x 1 Determinati Multimea Valorilor Reale Ale Lui X Pentru Care Brainly Ro

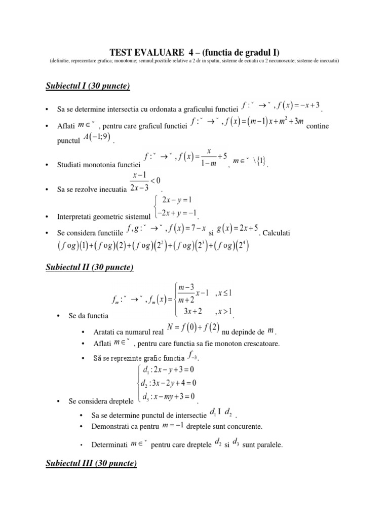
6 Test Evaluare Functia Gradul I

6 Test Evaluare Functia Gradul I

Fie F 2 0 1 3 Gt R F X 2x 1c Determinati Multimea Valorilor Functiei F Brainly Ro

Fie F 2 0 1 3 Gt R F X 2x 1c Determinati Multimea Valorilor Functiei F Brainly Ro

Fie F 2 0 1 3 Gt R F X 2x 1c Determinati Multimea Valorilor Functiei F Brainly Ro

Fie Functia F 0 2 R F X X Patrat Determinati Multimea Valorilor Lui F Brainly Ro

Fie Functia F 0 2 R F X X Patrat Determinati Multimea Valorilor Lui F Brainly Ro

Se Considera Functia F R R F X Ax B Unde A Si B Sunt Numere Reale Determinati A Si B Stiind Ca Brainly Ro

Se Considera Functia F R R F X Ax B Unde A Si B Sunt Numere Reale Determinati A Si B Stiind Ca Brainly Ro

Fie Functia F R R F X 5x 2 1 Aflati Zeroul Functiei F 2 Trasati Graficul Functiei F 3 Utilizind Brainly Ro

Fie Functia F R R F X 5x 2 1 Aflati Zeroul Functiei F 2 Trasati Graficul Functiei F 3 Utilizind Brainly Ro

Graficul Unei Functii Reprezentarea Grafica A Unei Functii In Sistem De Axe Ortogonale 8c12 Youtube

Graficul Unei Functii Reprezentarea Grafica A Unei Functii In Sistem De Axe Ortogonale 8c12 Youtube

Fie Functia F R R F X 2x 3 Determinati Valorile Reale Ale Lui X Pentru Care 2f X Lt 6x F 1 Brainly Ro

Fie Functia F R R F X 2x 3 Determinati Valorile Reale Ale Lui X Pentru Care 2f X Lt 6x F 1 Brainly Ro

Determinati Multimea Valorilor Functiei F R Gt R F X X X 2 1 Brainly Ro

Determinati Multimea Valorilor Functiei F R Gt R F X X X 2 1 Brainly Ro

Aflati Multimea Valorilor Functiei F R R F X X

Aflati Multimea Valorilor Functiei F R R F X X

Aflati Multimea Valorilor Functiei F R R F X X

Aflati Multimea Valorilor Functiei F R R F X X

Sa Se Afle Multimea Valorilor Reale Ale Lui X Pentru Care Fractia 2x 3 Supra X 2 Ia Valori Negative Brainly Ro

Sa Se Afle Multimea Valorilor Reale Ale Lui X Pentru Care Fractia 2x 3 Supra X 2 Ia Valori Negative Brainly Ro

Subiectul I 30 Puncte Test Evaluare 4 Functia De Gradul I

Subiectul I 30 Puncte Test Evaluare 4 Functia De Gradul I

Determinati Multimea Valorilor Reale Ale Lui A Pentru Care Ecutia X 2 Ax A 1 0 Are Soluţii Reale Brainly Ro

Determinati Multimea Valorilor Reale Ale Lui A Pentru Care Ecutia X 2 Ax A 1 0 Are Soluţii Reale Brainly Ro

Bac M1 Iunie 2018 Geogebra

Bac M1 Iunie 2018 Geogebra

Exercitii Rezolvate Domeniu De Definitie Al Functiei Radical Lic Domeniudef3 Youtube

Exercitii Rezolvate Domeniu De Definitie Al Functiei Radical Lic Domeniudef3 Youtube

Bac M2 2009 2013 126 Variante Ovidiu Badescu By Ovidiu Badescu Issuu

Bac M2 2009 2013 126 Variante Ovidiu Badescu By Ovidiu Badescu Issuu

Source : pinterest.com